Sapphire Luncurkan Kartu Grafis Berbasis ATI FirePro
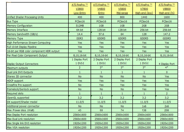
Sapphire Technology hari ini memperkenalkan beberapa anggota keluarga ATI FirePro baru, yaitu ATI FirePro V8800, ATI FirePro V7800, ATI FirePro V5800, ATI V4800 FirePro, dan ATI FirePro V3800. Ke semua lini tersebut dirancang untuk memenuhi kebutuhan khusus dari setiap segmen pasar. Setiap kartu mendukung Microsoft DirectX 11, OpenGL 4.0, dan OpenCL. Kesemua kartu tersebut juga telah mendukung Eyefinity ATI, sebuah feature yang mengijinkan penggunanya menggunakan 3 sampai 6 buah layar secara bersamaan. Semua kartu tersebut juga memenuhi setiap level kelas kategori.
ATI V8800 FirePro memori GDDR5 2GB masuk ke dalam kategori super high end. Kartu ini mampu memberikan kekuatan 2,6 teraflop komputasi mentah dengan bandwidth memory tertinggi (147.2GB / s). Satu pengguna V8800 ATI FirePro dapat menggunakan hingga empat independen 30 “display dalam balutan 16.400.000 piksel.
ATI V7800 memori GDDR5 2GB masuk ke dalam kelas high end. Menawarkan kemampuan kinerja dan kualitas visual dalam faktor bentuk kompak slot tunggal. Teknologi yang diusungnya mampu mendukung 3 buah layar 30 inci secara bersamaan.
ATI V5800 hadir dengan memori DDR5 1GB. ATI V5800 FirePro diklaim mampu memberikan lebih dari dua kali lipat kemampuan kinerja dari generasi sebelumnya. Kartu grafis ini masuk di dalam kelas mid-range. Sedangkan dari kelas entry, Sapphire membawa ATI V4800 dengan memori GDDR5 1GB. Kartu ini diklaim mampu menghadirkan kemampuan yang lebih hebat dibandingkan generasi sebelumnya dengan hasil yang luar biasa bagi pengguna CAD tingkat pemula. Dengan 512 MB memori DDR3 dan layar 30-bit pipa, kartu ini menawarkan reproduksi warna yang akurat dan kualitas visual yang tinggi.
Tabel Spesifikasi
klik gambar untuk melihat tabel secara detail















